La Propriété effective en droit : Définitions et seuils

Seuils

Pour les formes les plus courantes de propriété et de contrôle — à savoir la possession directe ou indirecte departs de propriété, de droits de vote et de droits sur les revenus — la plupart des juridictions fixent un seuil pour les obligations de divulgation, exprimé en pourcentage de la propriété ou du contrôle total. La détermination du niveau auquel fixer ces seuils est souvent au centre des débats lorsque les pays élaborent des définitions juridiques de la propriété effective. En règle générale, il est important de fixer des seuils peu élevés afin de garantir que la plupart ou la totalité des personnes jouissant de la propriété effective et des participations de contrôle pertinentes soient identifiées dans les divulgations. Cependant, il n’existe pas de seuil unique, car différents pourcentages seront appropriés en fonction des différents objectifs politiques poursuivis par les gouvernements par le biais de la transparence de la propriété effective. De même, certaines économies ou certains secteurs industriels associés à des risques plus élevés de criminalité financière devraient appliquer des seuils plus stricts. S’il est vrai que les seuils pourraient toujours être exploités par des personnes cherchant à éviter les obligations de divulgation, en limitant leur participation juste en dessous du niveau imposé parla loi, l’application de seuils bas rend cette pratique plus difficile. En outre, lorsqu’il existe une définition solide de la propriété effective, qui intègre les critères substantiels(et moins courants) de propriété et de contrôle détaillés ci-dessus, certaines personnes pourraient être tenues de divulguer leur propriété effective d’une société, même si leur participation est inférieure au seuil. [21] Sur la base de l’expérience d’OO en matière de soutien à la mise en œuvre de réformes sur la propriété effective, plusieurs pays estiment qu’un seuil compris entre 5% et 15% — mais parfois aussi bas que 0% pour certaines personnes ou certains secteurs— constitue un bon équilibre entre les différentes questions abordées dans cette section.

Encadré 3: Seuils dans la politique internationale

Aucun consensus international clair n’a émergé sur le niveau auquel les seuils devraient être fixés, bien qu’il existe des preuves d’une tendance ces dernières années vers des seuils plus bas.

Dans ses orientations de 2014 sur la transparence de la propriété effective, le GAFI ne recommande pas un niveau de seuil spécifique, mais mentionne plusieurs exemples de chiffres à 25% pour illustrer le fonctionnement des seuils. [22]

Parmi les premiers pays à avoir mis en œuvre des registres publics de bénéficiaires effectifs, plusieurs, dont le Royaume-Un [23] et l’Ukraine, [24] ont adopté un seuil de 25% en 2015. Ce seuil a également été intégré dans d’autres instruments politiques internationaux de premier plan, tels que l’AMLD4, la même année. [25]

Cependant, il semble que l’on reconnaisse de plus en plus, au niveau international, que ce niveau de seuil laisse de nombreux bénéficiaires effectifs pertinents en dehors l’obligation de divulgation. Un certain nombre de pays ont appliqué des seuils plus bas dans leur législation plus récente. Il s’agit notamment, en 2020, des lois nationales sur la propriété effective de l’Argentine (1 action ou plus), [26] du Sénégal (2%), [27] du Nigeria (5%), [28] du Paraguay (10%), [29] du Kenya (10%), [30] et des îles Caïmans (10%). [31]

Objectifs politiques et approche des seuils fondée sur le risque

Lors de la détermination des seuils, les gouvernements devraient commencer par examiner les objectifs politiques qui sous-tendent leur volonté de créer des registres sur les bénéficiaires effectifs. Il pourrait s’agir de lutter contre la corruption, le blanchiment d’argent, le financement du terrorisme et l’évasion fiscale, ou de soutenir l’activité économique en réduisant les risques de fraude et le coût de la diligence raisonnable. Ces objectifs politiques ne s’excluent pas mutuellement et de nombreux pays mettent en place des registres sur les bénéficiaires effectifs afin de poursuivre plusieurs de ces objectifs en tandem. Un seuil bas est nécessaire pour saisir les données sur les bénéficiaires effectifs pertinents qui permettent aux gouvernements d’atteindre la majorité de ces objectifs politiques.

Lors de la détermination des seuils, OO recommande aux exécutants d’adopter une approche axée sur le risque (AAR) afin d’atteindre le plus efficacement possible leurs objectifs politiques spécifiques. Des seuils élevés donnent lieu à un régime de déclaration vulnérable aux failles, tandis que des seuils bas permettent aux autorités de saisir davantage de données sur les personnes ayant des relations de propriété ou de contrôle sur des structures sociétaires.

Dans certaines circonstances, l’application d’une AAR pourrait conduire les pays à appliquer des seuils différents selon les secteurs de l’économie. Par exemple, une économie fortement dépendante des revenus tirés de l’extraction des ressources — un secteur connu pour être enclin à la corruption [32] — pourrait appliquer un seuil des divulgations plus bas dans le secteur extractif que pour le reste de l’économie. Dans ce cas, il convient de veiller à ne pas créer une échappatoire permettant aux entreprises de choisir le régime de divulgation dont elles relèvent. Pour atténuer ce risque, il convient de définir clairement chaque secteur économique auquel s’applique un seuil particulier.

Cependant, la mise en œuvre de seuils bas implique certains défis. Elle risque d’accroître la charge de travail des entreprises en matière de déclaration et nécessitera probablement davantage d’investissements de la part de l’État pour communiquer et expliquer comment se conformer aux obligations de déclaration. En outre, plus le seuil est bas, plus il est difficile pour les sociétés d’être à jour dans l’identification précise de leurs bénéficiaires effectifs. Dans les structures d’entreprise complexes, le temps que l’information relative aux changements de la propriété effective parvienne à l’entité déclarante au bas de la structure de détention, il est possible qu’un nouveau changement soit déjà en cours au sommet de la structure. Les avantages politiques et la transparence de seuils très bas — par exemple moins de 5% — devraient être considérés à l’aune des coûts de mise en œuvre pour le gouvernement et à la capacité de se conformer du point de vue de la gestion d’entreprise pour le secteur privé. Les gouvernements devront trouver un compromis entre ces coûts et les résultats. [33]

La section suivante décrit comment adopter une approche des seuils axée sur le risque pour atteindre deux objectifs politiques: la lutte contre la corruption et le blanchiment d’argent, et l’amélioration du climat des affaires.

Lutte contre la corruption et le blanchiment d’argent

Pour que la transparence de la propriété effective réduise la corruption et le blanchiment d’argent, les seuils devraient être déterminés à la lumière des risques de corruption présents dans chaque juridiction, et des risques spécifiques associés au(x) secteur(s) ou aux types d’entités juridiques qui seront soumis aux obligations de divulgation. Contrairement à une définition juridique de la propriété effective, où une définition unique conduit à une divulgation plus efficace, il est possible de fixer différents seuils au sein d’une même économie, car certains secteurs pourraient être considérés comme présentant un risque plus élevé et les pays pourraient y répondre en mettant en place un seuil plus bas. L’utilisation d’une AAR en vue de la transparence de la propriété effective pourrait permettre de cibler les ressources limitées de l’État pour s’attaquer aux domaines à haut risque en appliquant des seuils plus bas à certains secteurs à haut risque — comme les entreprises extractives — ou à certaines catégories de personnes — par exemple, les personnes politiquement exposées (PPE).

Seuils sectoriels

Ces seuils s’appliquent le plus souvent dans le cas des industries extractives, qui ont été identifiées comme présentant un risque de corruption important. [34] L’Arménie,par exemple, est passée d’un seuil de 20% pour la divulgation de la propriété effective dans sa loi AML de 2008 [35] à un niveau de 10% pour ses déclarations de 2019 dans le secteur minier. [36] De même, le Liberia a adopté un seuil de 5% pour les secteurs minier, pétrolier, gazier et agricole, contre un seuil plus élevé de 10% pour le secteur forestier. [37] Le Ghana a adopté un seuil de 0% pour toutes les entreprises du secteur extractif enregistrées localement qui font des déclarations au Registre en vertu de la loi modifiée de 2019, n° 992 sur les entreprises. Les entreprises extractives étrangères opérant au Ghana seront soumises à un seuil de déclaration de 5%. [38] Les seuils sectoriels sont plus faciles à mettre en œuvre dans les industries réglementées ou dans d’autres situations où les autorités savent quelles entreprises opèrent dans un secteur donné, et donc aussi quelles entreprises sont censées déclarer à un seuil donné. Sans cette garantie, il existe un risque que les participations de propriété ou de contrôle soient cachés dans le régime de divulgation le plus permissif, en déclarant de manière erronée le secteur dans lequel une société opère.

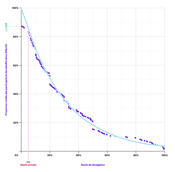
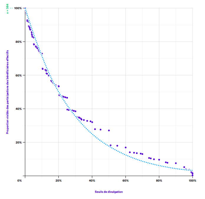
Fixer des seuils bas garantit qu’un plus grand nombre de bénéficiaires effectifs seront divulgués aux autorités. L’examen des données provenant des divulgations de l’industrie extractive du Nigeria Figure 2 montre à quel point des seuils différents pourraient modifier le nombre de participations révélées par les bénéficiaires effectifs. Si le Nigeria avait appliqué un seuil de 20% pour ses obligations de divulgation relatives aux industries extractives, au lieu de ne pas avoir de seuil du tout, le nombre de participations déclarées aurait diminué de moitié. Cette mesure aurait très probablement eu des effets néfastes sur les objectifs politiques visant à aider à prévenir ou à enquêter sur les cas de corruption liés au secteur. À titre de comparaison, le Myanmar a fixé un seuil de 5% pour ses divulgations relatives aux industries extractives. Si le seuil avait été fixé à 20%, environ 40% des participations des bénéficiaires effectifs inclus(es) dans les données n’auraient pas été divulguées aux autorités (voir Figure 3).

Figure 2. Visibilité de la propriété effective dans les entreprises extractives au Nigeria à différents seuils (sur la base des divulgations sur le portail NEITI)
Figure 2. Visibilité de la propriété effective dans les entreprises extractives au Nigeria à différents seuils (sur la base des divulgations sur le portail NEITI)

Graphique montrant la proportion de bénéficiaires effectifs visibles à différents seuils hypothétiques dans le secteur extractif auNigeria. Il est basé sur un traitement expérimental des données brutes de l’initiative pour la transparence dans les industries extractives du Nigeria (NEITI), analysant les pourcentages des participations de propriété et de contrôle déclarées à partir des divulgations des bénéficiaires effectifs des entreprises extractives nigérianes afin de déterminer l’effet de l’ajustement du seuil sur la visibilité des bénéficiaires effectifs. La taille de l’échantillon (n=384) est le nombre total de participations des bénéficiaires effectifs divulguées.

Source: Initiative pour la transparence dans les industries extractives du Nigeria (NEITI), « Beneficial Ownership Portal » (Portail de la propriété effective). Disponible pour un téléchargement en masse sur: https://bo.neiti.gov.ng/company_excel_download/xls (Pétrole et gaz); et: https://bo.neiti.gov.ng/company_excel_download_sm/xls (Ressources minérales solides) [Consulté le 11 mai 2020].

Figure 3. Visibilité de la propriété effective dans les entreprises extractives au Myanmar à différents seuils (sur la base des divulgations sur le portail MEITI)
Figure 3. Visibilité de la propriété effective dans les entreprises extractives au Myanmar à différents seuils (sur la base des divulgations sur le portail MEITI)

Graphique montrant la proportion de bénéficiaires effectifs visibles à différents seuils hypothétiques dans le secteur extractif au Myanmar. Il est basé sur un traitement expérimental des données brutes de l’initiative pour la transparence dans les industries extractives du Myanmar (MEITI), analysant les pourcentages des participations de propriété et de contrôle déclarées à un seuil de 5% à partir des divulgations des bénéficiaires effectifs des entreprises extractives du Myanmar, afin de déterminer l’effet d’un ajustement du seuil sur la visibilité de la propriété effective. Les divulgations inférieures à 5% sont volontaires. La ligne de meilleur ajustement a été extrapolée pour montrer quel pourrait être le nombre total hypothétique de divulgations si le seuil était fixé à 0%. La taille de l’échantillon (n=258) est le nombre total de participations des bénéficiaires effectifs divulguées.

Source : Initiative pour la transparence dans les industries extractives du Myanmar (MEITI), « Divulgation du bénéficiaire effectif ». Disponible pour téléchargement en masse sur: https://bo.dica.gov.mm/pages/bo-disclosure [consulté le 13 mai 2020]

Personnes politiquement exposées (PPE) [39]

Au niveau individuel, pour les PPE — ceux qui occupent des fonctions politiques de haut niveau et leur famille proche ou leurs associés — un seuil de la propriété effective extrêmement bas ou de 0% pourrait être justifié. Il est largement reconnu que l’influence et le pouvoir que les PPE tirent de leur position peuvent être détournés à des fins de corruption, de pots-de-vin et de blanchiment d’argent. [40]

En juillet 2020 au Kenya, la presse a rapporté qu’un cousin du président Uhuru Kenyatta bénéficierait probablement de la décision de ce dernier d’abolir une taxe sur les jeux,car il détenait indirectement des intérêts dans le secteur via des participations de 0,5 à 3% dans des sociétés affiliées. [41] Un seuil de 0% pour les PPE pourrait contribuer à mettre en lumière de tels conflits d’intérêts potentiels à un stade précoce. En Arménie, les seuils pour les PPE ont été fixés à 0% dans ses déclarations 2020 sur l’industrie extractive. Cette décision est conforme aux orientations del’ITIE sur les PPE et fait également suite à des allégations selon lesquelles des participations dans des entreprises minières auraient été vendues illégalement à des entreprises contrôlées par des personnalités politiquement liées après la révolution de 2018. [42]

Éviter les seuils

Les autorités et les entités assujetties devraient garder à l’esprit que les seuils ne sont qu’un niveau minimum pour déclencher les exigences de divulgation des bénéficiaires effectifs, et qu’une enquête plus approfondie pourrait être nécessaire pour les entités et les individus jugés suspect sou à haut risque, mais qui se situeraient en dessous de ce niveau. [43] Les exécutants devraient tenir compte du fait que des seuils élevés pourraient constituer un obstacle aux enquêtes sur les personnes et les entités qui n’atteignent pas ce seuil. Cela a été illustré aux îles Caïmans en août 2020, lorsque le bureau de l’Ombudsman a ordonné aux autorités en charge du registre des entreprises de ne pas collecter d’informations sur les individus qui possédaient des participations inférieures au niveau légalement prévu par la loi sur les sociétés du territoire. Autrement dit, dans le cadre d’une enquête, les autorités devaient utiliser les informations de la propriété effective détenues par l’entreprise elle-même (ce qui la mettait au courant de l’enquête), ou faire une demande d’accès spécial au registre, ce qui ajoute du temps et de la bureaucratie à l’enquête. [44]

Un seuil fixé à n’importe quel niveau comporte un risque que les acteurs illicites contournent délibérément la législation en limitant leur participation juste en dessous du pourcentage seuil. Ce phénomène a été clairement illustré dans l’affaire du blanchiment d’argent russe, par exemple, dans laquelle 20,8 milliards de dollars auraient été transférés de 19 banques russes vers la Moldavie, puis vers d’autres destinations internationales. Les auteurs de l’opération auraient évité les obligations de divulgation du bénéficiaire effectif à 5% en utilisant plusieurs entités et en limitant leurs parts à 4,9% par entité. Lorsque les autorités moldaves ont réduit le seuil à 1%, les personnes impliquées ont modifié leur stratégie pour limiter leurs participations à 0,9%. [45] Des systèmes plus sophistiqués de contournement des seuils ont également été identifiés, notamment par le biais de structures de propriété circulaires. [46] Ces stratagèmes soulignent une fois de plus l’importance de n’utiliser les seuils que comme un élément d’une définition beaucoup plus large et substantielle de la notion de propriété effective.

Améliorer le climat des affaires

Afin de gérer les risques opérationnels et de réputation, les entreprises ont besoin d’une bonne visibilité de la propriété des entreprises et de se conformer à la législation sur la lutte contre le blanchiment d’argent et le financement du terrorisme (LCB/FT) et sur les obligations de connaître son client (Know-Your-Customer – KYC). En l’absence de registres sur les bénéficiaires effectifs publics, les entreprises achètent souvent des données sur les bénéficiaires effectifs auprès de fournisseurs tiers qui sont de fervents utilisateurs des données sur les bénéficiaires effectifs disponibles publiquement. Comme le dit l’un des principaux fournisseurs, Dun & Bradstreet, « pour calculer avec précision la propriété effective agrégée, un seuil de 10% ou 25% pourrait ne pas être suffisant. La détermination d’une propriété aussi faible que 1% pour calculer les pourcentages de propriété totale parmi les différents propriétaires pourrait s’avérer nécessaire pour que les agents de conformité soient confiants ». [47]

Pour que les entreprises puissent opérer en toute confiance, des seuils plus bas sont préférables, car plus de données augmenteront la visibilité. Par ailleurs, des seuils plus bas pourraient augmenter le coût de la diligence raisonnable pour les entités réglementées par la loi contre le blanchiment d’argent, bien que l’existence de registres accessibles au public puisse contribuer à compenser ces coûts. En outre, des pays comme le Royaume-Uni ont déjà démontré que le coût de la mise en conformité avec la réglementation sur la divulgation du bénéficiaire effectif sur les entreprises est faible pour la grande majorité des entreprises. [48]

Notes de bas de page

[21] Par exemple, un individu pourrait toujours être qualifié de bénéficiaire effectif s’il a un droit de jouissance sur des actifs substantiels de la société, même s’il ne contrôle que peu ou pas d’actions de cette entité.

[22] Groupe d’action financière, « Transparency and Beneficial Ownership » (Transparence et propriété effective), octobre 2014. Disponible à l’adresse: http://www.fatf-gafi.org/media/fatf/documents/reports/Guidance-transparency-beneficial-ownership.pdf [Consulté le 29 septembre 2020].

[23] Législation britannique, « Small Business, Enterprise and Employment Act 2015 » (Loi de 2015 sur les petites entreprises, les entreprises et l’emploi). Disponible à l’adresse: https://www.legislation.gov.uk/ukpga/2015/26/pdfs/ukpga_20150026_en.pdf [consulté le 29 septembre 2020].

[24] Initiative pour la transparence dans les industries extractives, « Beneficial ownership in Ukraine: Description and road map » (Propriété effective en Ukraine :Description et feuille de route ». Disponible à l’adresse: https://eiti.org/files/documents/ukraine_bo_roadmap_in_english.pdf [Consulté le 29 septembre 2020].

[25] Journal officiel de l’Union européenne, « Directive (UE) 2015/849 du Parlement européen et du Conseil du 20 mai 2015 », 5 juin 2015. Disponible à l’adresse suivante: https://eur-lex.europa.eu/legal-content/EN/TXT/PDF/?uri=CELEX:32015L0849&from=EN [Consulté le 29 septembre 2020].

[26] Journal officiel de la République argentine, « Federal Administration of Public Revenue » (Administration fédérale des recettes publiques), 15 avril 2020. Disponible à l’adresse: https://www.boletinoficial.gob.ar/detalleAviso/primera/227833/20200415 [Consulté le 29 septembre 2020].

[27] Entretien avec le directeur francophone de l’ITIE, 2 septembre 2020.

[28] Section 868 de la loi sur les sociétés et les questions connexes, 2020, qui définit une personne exerçant un contrôle important. Voir: https://www.proshareng.com/admin/upload/report/13880-Companies%20and%20Allied%20Matters%20Act,%202020_-proshare.pdf.

[29] Biblioteca y Archivo del Congreso Nacional, « Loi n° 6446/Crée le registre administratif des personnes et des structures juridiques et le registre administratif des bénéficiaires finaux du Paraguay », 20 janvier 2020. Disponible à l’adresse: https://www.bacn.gov.py/leyes-paraguayas/9116/ley-n-6446-crea-el-registroadministrativo-de-personas-y-estructuras-juridicas-y-el-registro-administrativo-de-beneficiarios-finales-del-paraguay [consulté le 29 septembre 2020].

[30] Législation sur les filiales du Kenya, « The Companies Beneficial Ownership Regulations » (Règlement sur la propriété effective des entreprises). Disponible à l’adresse: https://brs.go.ke/assets/downloads/The%20Companies%20(Beneficial%20Ownership%20Information)%20Regulation%202020.pdf [consulté le29 septembre 2020].

[31] Produits de la loi des Îles Caïmans (révision de 2020), « Anti-Money Laundering Regulations (réglementation de lutte contre le blanchiment d’argent), 9 janvier 2020. Disponible à l’adresse: https://www.cima.ky/upimages/commonfiles/1580219233Anti-MoneyLaunderingRegulations2020Revision_1580219233.pdf [consulté le 29 septembre 2020].

[32] The Economist, « Bribery pays - if you don’t get caught » (La corruption paie — si vous ne vous faites pas prendre), 27 août 2020. Disponible à l’adresse: https://www.economist.com/business/2020/08/27/bribery-pays-if-you-dont-get-caught [Consulté le 29 septembre 2020].

[33] Cela ne veut pas dire que c’est impossible. Certains pays, comme Curaçao, ont fixé le seuil à une seule action. Voir : Tax Justice Network, «“Argentina finally has a beneficial ownership register » (L’Argentine a enfin un registre de propriété effective), 20 avril 2020. Disponible à l’adresse: https://www.taxjustice.net/2020/04/20/argentina-finally-has-a-beneficial-ownership-register-now-it-should-make-it-public/ [consulté le 29 août 2020].

[34] The Economist, « Bribery pays - if you don’t get caught » (La corruption paie — si vous ne vous faites pas prendre), 27 août 2020. Disponible à l’adresse: https://www.economist.com/business/2020/08/27/bribery-pays-if-you-dont-get-caught [Consulté le 29 septembre 2020].

[35] Loi de la République d’Arménie, « On Combating Money Laundering and Terrorism Financing » (Sur la lutte contre le blanchiment de capitaux et le financement du terrorisme), 21 juin 2008. Disponible à l’adresse: https://www.cba.am/Storage/EN/FDK/Regulation_old/law_on_combating_money_laundering_and_terrorism_financing_eng.pdf [consulté le 29 septembre 2020].

[36] À partir de juillet 2020, cette loi ne s’appliquera qu’aux industries extractives, bien qu’une extension du régime de divulgation à tous les secteurs soit prévue pour la fin 2020. Voir: https://www.arlis.am/DocumentView.aspx?DocID=131518.

[37] Initiative pour la transparence dans les industries extractives au Liberia, « Beneficial Ownership Roadmap » (Feuille de route sur la propriété effective), décembre 2016. Disponible à l’adresse: https://eiti.org/files/documents/leiti_bo_roadmap.pdf [consulté le 29 septembre 2020].

[38] Ghana Business News, « Ghana to deploy Beneficial Ownership Register in October » (Le Ghana déploiera un registre de propriété effective en octobre), 9 septembre 2020. Disponible à l’adresse: https://www.ghanabusinessnews.com/2020/09/09/ghana-to-deploy-beneficial-ownership-register-in-october/ [Consulté le 29 septembre 2020].

[39] Les définitions internationales des PPE incluent généralement non seulement les personnes qui occupent directement des fonctions politiques, mais aussi leurs proches, tels que leur conjoint et leur famille immédiate. Voir, par exemple, Nations Unies, « Convention contre la corruption », article 52 (1). Disponible à l’adresse: https://www.unodc.org/documents/brussels/UN_Convention_Against_Corruption.pdf [consulté le 6 septembre 2020].

[40] Orientations du Groupe d’action financière, « Personnes politiquement exposées (recommandations 12 et 22) ». Juin 2013. Disponible à l’adresse: https://www.fatf-gafi.org/media/fatf/documents/recommendations/Guidance-PEP-Rec12-22.pdf [consulté le 29 septembre 2020].

[41] The Elephant, « It’s Our Turn to Eat: Cousin of Kenya’s President Has Stake in Sportpesa Betting Firm » (Le cousin du président kenyan a des parts dans la société de paris Sportpesa), 2 juillet 2020. Disponible à l’adresse: https://www.theelephant.info/features/2020/07/02/its-our-turn-to-eat-cousin-of-kenyas-presidenthas-stake-in-sportpesa-betting-firm/ [Consulté le 29 septembre 2020].

[42] Pour en savoir plus sur ces allégations, voir, par exemple: https://arminfo.info/full_news.php?id=51522&lang=3.

[43] Banque mondiale, « The Puppet Masters: How the Corrupt Use Legal Structures to Hide Stolen Assets and What to Do About It » (Les Maîtres marionnettes: Comment les corrompus utilisent les structures juridiques pour dissimuler les biens volés et les moyens pour y remédier), 2011. Disponible à l’adresse: https://star.worldbank.org/sites/star/files/puppetmastersv1.pdf [consulté le 29 septembre 2020].

[44] Cayman Compass, « Ombudsman orders registrar to stop collecting personal information », (Le Médiateur ordonne au registraire de cesser de collecter des informations personnelles), 14 août 2020. Disponible à l’adresse: https://www.caymancompass.com/2020/08/14/ombudsman-orders-registrar-to-stop-collectingpersonal-information/ [Consulté le 29 septembre 2020].

[45] Commission d’enquête sur le blanchiment d’argent, l’évasion fiscale et la fraude fiscale, « Public Hearing Financial Intelligence Units (FIUs): ‘Ins and Outs’ and theRussian ‘Laundromat’ Case » (Cellule de renseignement financier [CRF]: Les tenants et aboutissants et l’affaire du « lavomatic » russe), 21 juin 2017. Disponible à l’adresse: https://www.europarl.europa.eu/cmsdata/128621/PANA%2021%20June%20pm_Verbatim%20Report_EN.pdf [consulté le 29 septembre 2020].

[46] Le Tax Justice Network a écrit en détail sur la façon dont les structures de propriété circulaires pourraient être utilisées pour éviter les seuils de divulgation. Voir: Tax Justice Network, « More beneficial ownership loopholes to plug » (Plus de lacunes dans la propriété effective à combler », 6 septembre 2019. Disponible à l’adresse: https://www.taxjustice.net/2019/09/06/more-beneficial-ownership-loopholes-to-plug-circular-ownership-control-with-little-ownership-and-companies-asparties-to-the-trust/ [consulté le 2 août 2020].

[47] Dun & Bradstreet, « How Compliance Practices Should Adapt to Increased Beneficial Ownership Scrutiny » (Comment les pratiques de conformité devraient s’adapter à une surveillance accrue de la propriété effective), 2016. Disponible à l’adresse: https://www.dnb.co.uk/content/dam/english/dnb-solutions/supplymanagement/beneficial-ownership-white-paper.pdf [Consulté le 29 septembre 2020].

[48] Par exemple, dans un examen du registre britannique, le coût médian de la conformité au Royaume-Uni était de 287 £. Voir: Département des Affaires, de l’Énergie et des Stratégies industrielles, « Examen de la mise en œuvre du registre des personnes exerçant un contrôle significatif (PSC) », Mars 2019. Disponible à l’adresse: https://assets.publishing.service.gov.uk/government/uploads/system/uploads/attachment_data/file/822823/review-implementation-psc-register.pdf [consulté le 1er août 2020].

Next page: Opérationnalisation des définitions et des seuils